CE Item Writing (CPS)
Search
Tools
Site Tools
Recent Changes
Media Manager
Sitemap
Page Tools
Show page
Old revisions
Backlinks
Back to top
Log In
Trace
global_policies
bank_move
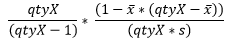
stat_kr21.png
stat_kr21.png
Back to stats_item
×
stat_kr21.png
Date:
2017/02/10 11:49
Filename:
stat_kr21.png
Format:
PNG
Size:
2KB
Width:
229
Height:
42
References for:
stats_exam
This list might not be complete due to ACL restrictions and hidden pages.
Except where otherwise noted, content on this wiki is licensed under the following license:
CC Attribution-Share Alike 4.0 International